Không gian metric là một cặp có thứ tự (M,d) trong đó M là một tập và d là một hàm khoảng cách(distance function hay metric) d: M x M → ℝ, nếu với mọi x, y, z ϵ M:
- d(x, y) ≥ 0
- d(x, y) = 0 ⇔ x = y
- d(x, y) = d(y, x)
- d(x, z) ≤ d(x, y) + d(y, z)
Hàm khoảng cách viết gọn là khoảng cách hay metric. Không gian metric (M,d) viết gọn là không gian metric M, và có lúc chỉ là không gian M khi ngữ cảnh đã được xác định. Chẳng hạn đối với tập số thực ℝ quen thuộc của chúng ta, không gian của nó là không gian ℝ. Về metric, nếu không nói rõ gì thêm thì metric của ℝ và ℚ là metric tự nhiên, metric thường hay metric chuẩn |x-y|.
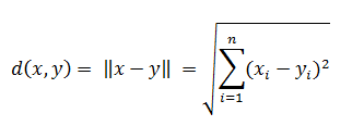
Không gian metric là tổng quát hóa của không gian Euclid và không gian Euclid là không gian metric với metric

Trong đó xi và yi là các thành phần thứ i của các vector x, y ϵ ℝn tương ứng. Với số chiều của không gian n = 1 thì metric trở thành khoảng cách trong đường thẳng thực ℝ, d(x, y) = |x-y|, là metric chuẩn trên ℝ. Không gian ℝ là đầy đủ nhưng ℚ cũng dùng metric đó thì không(xem Không gian metric đầy đủ).
Metric rời rạc(discrete metric) d trên X được định nghĩa bởi

với mọi x, y ϵ X. Không gian với metric rời rạc được gọi là không gian metric rời rạc(discrete metric space).
Metric rời rạc đơn giản nhưng quan trọng và có thể áp dụng cho tất cả các tập. Với bất kỳ tập nào luôn có một không gian metric kết hợp với nó. Không gian metric là một không gian tôpô, và với metric rời rạc, mỗi điểm là một quả cầu mở, do đó mọi tập con là mở và không gian có tôpô rời rạc.
Với một không gian metric (X, d) và một tập A bất kỳ, nếu có một đơn ánh f: A → X thì d(f(x), f(y)) định nghĩa một metric trên A.
Dãy hội tụ trong không gian metric
Cho (X,d) là một không gian metric,
dãy (xn) được gọi là hội tụ tới x ϵ X nếu với mọi số thực Ꜫ > 0 cho trước, tìm được một số nguyên dương n0 sao cho với mọi số nguyên dương n > n0 , khoảng cách
d(xn, x) < Ꜫ.
x được gọi là giới hạn của dãy (xn). Chúng ta viết xn → x khi n → ∞ , hay

Chú thích. Đối với dãy vô hạn thì sử dụng quan hệ thứ tự > hay ≥ giữa n và n0 ở trên không làm thay đổi ý nghĩa của phát biểu. Chúng ta viết “n > n0” hay “n ≥ n0” là như nhau.
Sử dụng kí hiệu (xn) thay cho {xn} để tổng quát hóa một dãy thành một lưới(net). Mọi dãy đều là một lưới.
Dãy Cauchy trong không gian metric
Cho (X,d) là một không gian metric,
dãy (xn) là dãy Cauchy nếu với mọi số thực Ꜫ > 0 cho trước, tìm được một số nguyên dương n0 sao cho sao cho với mọi cặp số nguyên dương m, n > n0 , khoảng cách
d(xm, xn) < Ꜫ
Dãy Cauchy nói chung không phải là dãy hội tụ. Chúng ta đã biết rằng dãy số thực là dãy Cauchy thì hội tụ. Đó là bởi vì nó thuộc ℝ, là không gian chứa mọi điểm giới hạn của các dãy Cauchy thực. Khi chứng minh một dãy Cauchy thực là dãy hội tụ, người ta đã mượn một giới hạn thực giả định để tính toán. Giả định đó là chấp nhận được vì giới hạn này thuộc tập thực.
Bây giờ xét một không gian của khoảng mở (0,1) với dãy được định nghĩa bởi xn = 1/n. Dãy này là Cauchy và có xu hướng giảm về số 0 nhưng không hội tụ vì số 0 nằm ngoài không gian đã cho. Nhưng đối với khoảng đóng [0,1] thì nó hội tụ.
Dãy Cauchy có nhiều công dụng và rất thú vị. Khi điều kiện hội tụ đã được đảm bảo, chúng ta thường không phải quan tâm tới giới hạn của nó mà chỉ việc thiết lập các phần tử qua các vòng lặp trong thuật toán chẳng hạn như sử dụng Cauchy với ánh xạ co. Ngoài ra, các dãy Cauchy được sử dụng để làm đầy đủ mọi không gian metric bằng cách thiết lập một không gian gọi là hoàn thành(completion).
Không gian metric đầy đủ
(Xem Không gian metric đầy đủ)
Quả cầu(ball) trong không gian metric
Trong không gian metric (X,d), quả cầu mở(open ball) tâm p bán kính r > 0, kí hiệu ℬr(p) hoặc ℬ(p; r), được định nghĩa như sau:
ℬr(p) = {x ϵ X : d(x, p) < r}
Quả cầu đóng có thể được biểu thị bởi ℬr[p] hoặc ℬ[p;r], với
ℬr[p] = {x ϵ X : d(x, p) ≤ r}
Bao đóng của quả cầu mở ℬr(p) thường được biểu thị là

Bao đóng của một quả cầu mở không phải lúc nào cũng bằng với quả cầu đóng đồng tâm, cùng bán kính với nó. Ví dụ trong một không gian metric X với metric rời rạc, chúng ta có

Một quả cầu đơn vị(unit ball) là một quả cầu có bán kính là 1.
Với một không gian metric M, các quả cầu mở sinh ra cơ sở cho một tôpô trên M, làm cho nó trở thành một không gian tôpô. Không gian tôpô kiểu này được gọi là không gian metric hóa (metrizable space), với tôpô được gọi là tôpô metric.
Một không gian metric hóa đầy đủ là một không gian tôpô (X, τ) trong đó tìm được ít nhất một metric d trên X sao cho (X, d) là một không gian metric đầy đủ và d cảm sinh tôpô τ. Không gian metric hóa đầy đủ khác với không gian metric đầy đủ ở chỗ, khi chúng ta chọn được metric trên một không gian metric hóa đầy đủ, chúng ta có một không gian metric đầy đủ, còn không gian metric đầy đủ là đã được xác định với một metric cho trước.
Các tập mở(open set) và tập đóng(closed set) trong không gian metric
Trên đường thẳng thực ℝ, một khoảng mở (a, b) là một tập mở.
Trong không gian metric nói chung, một tập con U của một không gian metric (M, d) được gọi là mở nếu với mọi x trong U luôn tìm được một số thực ꜫ > 0 sao cho mọi điểm y trong M có khoảng cách d(x, y) < ꜫ đều thuộc U. Hoặc có thể nói U là mở nếu mọi điểm trong U đều có lân cận thuộc U.
Tương đương, U là một tập mở nếu với mọi x ϵ U luôn tìm được một quả cầu mở tâm x chứa trong U. Chú ý rằng quả cầu theo định nghĩa nó chứa các điểm của không gian M, do đó nếu U chứa được quả cầu thì nó phải chứa tất cả các điểm của M trong quả cầu. Điều này thể hiện tính “liên tục” về không gian của một tập mở. Ví dụ tập ℚ và các tập con khác rỗng của nó không chứa được quả cầu mở nào trong không gian Euclid ℝ1, vì mọi quả cầu mở tại mọi điểm của chúng đều chứa các số vô tỉ; và chúng không phải là các tập mở.
Dễ thấy theo định nghĩa tập mở thì M, tập chiếm toàn bộ không gian và Ø là các tập mở. Bù của một tập mở là một tập đóng. Như vậy M và Ø cũng là các tập đóng.
Một tập con A của không gian metric M là đóng nếu và chỉ nếu mọi dãy trong A mà hội tụ tới một giới hạn trong M thì giới hạn đó ở trong A.

Trong không gian Euclid ℝ2 điểm y nằm trên vòng tròn tâm x, bán kính là khoảng cách

Tập các điểm màu đỏ là tập mở. Tập các điểm màu xanh là tập các điểm biên. Hợp của cả hai tập màu đỏ và màu xanh là tập đóng. Điểm p là điểm bất kỳ trong tập mở. Vòng tròn nhỏ tâm p có bán kính ꜫ. Mọi điểm có khoảng cách tới p nhỏ hơn ꜫ đều thuộc tập mở.
Không gian giới nội và giới nội toàn phần(Bounded and totally bounded space)
(Xem Không gian giới nội và giới nội toàn phần)
Không gian khả li(Separable space)
(Xem Không gian metric khả li)
Không gian compact
Một không gian metric M là compact nếu mọi dãy trong M có một dãy con hội tụ tới một điểm trong M. Kiểu compact này là compact tuần tự, trong các không gian metric, là tương đương với compact đếm được (mọi phủ mở đếm được có phủ con hữu hạn) và compact chung trong tôpô (mọi phủ mở có phủ con hữu hạn).
Các ví dụ của không gian metric compact bao gồm khoảng đóng [0, 1] với metric tự nhiên, tất cả các không gian metric với số điểm hữu hạn, và tập Cantor. Mọi tập con đóng của một không gian compact là compact.
Một không gian metric là compact nếu và chỉ nếu nó là đầy đủ và giới nội toàn phần. Đó là phát biểu của định lý Heine-Borel cho mọi không gian metric.
Mọi không gian metric compact là đếm được-thứ hai, và là một ảnh liên tục của tập Cantor.
Không gian thực sự và không gian compact địa phương
Một không gian được nói là compact địa phương nếu mọi điểm có một lân cận compact. Các không gian Euclid là compact địa phương, nhưng các không gian Banach vô hạn chiều thì không.
Một không gian M là thực sự nếu mọi quả cầu đóng ℬr[p] = {x ϵ M : d(x, p) ≤ r} là compact. Các không gian thực sự là compact địa phương, nhưng ngược lại nói chung là không đúng.
Liên thông
(Xem Không gian liên thông)
Các loại ánh xạ giữa các không gian metric
Cho (M1, d1) và (M2, d2) là hai không gian metric.
- Ánh xạ liên tục
Ánh xạ f : M1 → M2 là liên tục nếu nó có một (và do đó tất cả) trong những tính chất tương đương dưới đây:
Liên tục tôpô
(Xem Không gian tôpô)
Liên tục tuần tự
Nếu (xn) là một dãy trong M1 mà hội tụ tới x trong M1, thì dãy (f(xn)) hội tụ tới f(x) trong M2.
Định nghĩa ε-δ
Với mọi x trong M1 và mọi ε > 0 tìm được δ > 0 sao cho với mọi y trong M1 chúng ta có
d1(x, y) < δ ⟹ d2(f(x), f(y)) < ε
Hơn nữa, f là liên tục nếu và chỉ nếu nó liên tục trên mọi tập con compact của M1.
Ảnh của mọi tập compact dưới một ánh xạ liên tục là compact, và ảnh của mọi tập liên thông dưới một ánh xạ liên tục là liên thông.
- Ánh xạ liên tục đều
Ánh xạ f : M1 → M2 là liên tục đều nếu với mọi ε > 0 tìm được δ > 0 sao cho
d1(x, y) < δ ⟹ d2(f(x), f(y)) < ε với mọi x, y ϵ M1
Ánh xạ liên tục đều khác với ánh xạ liên tục theo định nghĩa ε-δ ở chỗ: ánh xạ liên tục chỉ yêu cầu tìm mỗi δ để thỏa điều kiện cho từng x nhất định, như thế, với một ε chung, δ1 tìm được tại x1 có thể không thỏa điều kiện tại x2; ánh xạ liên tục đều đòi hỏi có chỉ một δ mà thỏa điều kiện với mọi x và với mọi y.
Mọi ánh xạ liên tục đều f : M1 → M2 là liên tục. Đảo lại là đúng nếu M1 là compact (định lý Heine-Cantor), cụ thể là: nếu ánh xạ f : M1 → M2 là liên tục và M1 là compact, thì f là liên tục đều.
Ánh xạ liên tục đều biến các dãy Cauchy trong M1 thành các dãy Cauchy trong M2. Đối với các ánh xạ liên tục điều này nói chung là sai; ví dụ, một toàn ánh liên tục từ khoảng mở (0, 1) tới đường thẳng thực biến một số dãy Cauchy thành các dãy không bị chặn.
- Ánh xạ liên tục-Lipschitz và ánh xạ co
Cho một số K ≥ 0, ánh xạ f : M1 → M2 là liên tục-Lipschitz nếu
d2(f(x), f(y)) ≤ Kd1(x, y) với mọi x, y ϵ M1
Mọi ánh xạ liên tục-Lipschitz là liên tục đều, nhưng đảo lại nói chung là không đúng.
Nếu K < 1, thì f được gọi là một ánh xạ co. Cho M2 = M1 = M và M là đầy đủ. Nếu f là một ánh xạ co thì f thừa nhận một điểm bất động duy nhất. Nếu M là compact, điều kiện có thể bị yếu đi một chút: f thừa nhận một điểm bất động duy nhất nếu
d(f(x), f(y)) < d(x, y) với mọi x ≠ y ϵ M
- Phép đẳng cự(Isometry)
Phép đẳng cự là một đơn ánh bảo toàn khoảng cách giữa các không gian metric.
Định nghĩa. Cho X và Y là hai không gian metric với các metric là dX và dY. Đơn ánh f: X → Y được gọi là một phép đẳng cự hay phép bảo toàn khoảng cách nếu với mọi a, b ϵ X,
dY(f(a), f(b)) = dX(a, b)
- Phép bán-đẳng cự
Ánh xạ f : M1 → M2 là một phép bán-đẳng cự nếu tìm được các hằng A ≥ 1 và B ≥ 0 sao cho

và một hằng C ≥ 0 sao cho mọi điểm trong M2 có một khoảng cách lớn nhất là C từ một điểm nào đó trong ảnh f(M1).
Chú ý rằng một phép bán-đẳng cự không yêu cầu là liên tục. Phép bán-đẳng cự so sánh “cấu trúc thang lớn” của các không gian metric; chúng thường được sử dụng trong lý thuyết nhóm hình học có liên quan tới metric ngữ nghĩa.
Các khái niệm về sự tương đương trong không gian metric
Cho (M1, d1) và (M2, d2) là hai không gian metric:
- Chúng được gọi là đồng phôi nếu tồn tại một phép đồng phôi giữa chúng (đó là một song ánh liên tục hai chiều).
- Chúng được gọi là đẳng cấu đều nếu tồn tại một phép đẳng cấu đều giữa chúng (đó là một song ánh liên tục đều hai chiều).
- Chúng được gọi là đẳng cự nếu tồn tại một phép đẳng cự song ánh giữa chúng. Trong trường này, hai không gian metric về bản chất là như nhau.
- Chúng được gọi là bán-đẳng cự nếu tồn tại một phép bán-đẳng cự giữa chúng.
Các tính chất tôpô
Các không gian metric là các không gian Hausdorff paracompact và do đó là chuẩn tắc (quả thực chúng là chuẩn tắc hoàn hảo). Một hệ quả quan trọng là mọi không gian metric thừa nhận phân hoạch đơn vị, và mọi hàm thực liên tục định nghĩa trên một tập con đóng của một không gian metric có thể được mở rộng tới một ánh xạ liên tục trên toàn thể không gian (định lý mở rộng Tietze). Cũng đúng rằng mọi hàm liên tục-Lipschitz thực định nghĩa trên một tập con đóng của một không gian metric có thể được mở rộng tới một ánh xạ liên tục-Lipschitz trên toàn thể không gian.
Các không gian metric là đếm được-thứ nhất vì người ta có thể sử dụng các quả cầu với bán kính hữu tỉ như một cơ sở địa phương.
Tôpô metric trên một không gian metric M là tôpô thô nhất trên M sao cho metric d là một ánh xạ liên tục từ tích của M với chính nó tới các số thực không âm.
Khoảng cách giữa các điểm và các tập, khoảng cách Hausdorff và metric Gromov
Cho (M, d) là một không gian metric, S là một tập con của M và x là một điểm trong M, khoảng cách từ điểm x tới tập M được định nghĩa như sau
d(x, S) = inf {d(x, s) : s ϵ S}
trong đó inf biểu thị cận dưới lớn nhất.
d(x, S) = 0 nếu và chỉ nếu x thuộc bao đóng của S
Với hai tập con S và T, khoảng cách hausdorff của chúng là
dH(S, T) = max {sup {d(s, T) : s ϵ S}, sup {d(t, S) : t ϵ T}}
trong đó sup biểu thị cận trên bé nhất.
Khoảng cách hausdorff dH biến tập K(M) của tất cả các tập con compact không rỗng của M thành một không gian metric. Người ta có thể chỉ ra rằng K(M) là đầy đủ(complete) nếu M là đầy đủ.
Khoảng cách Gromov- Hausdorff định nghĩa khoảng cách giữa hai không gian metric compact: Nếu X và Y là hai không gian metric compact thì dGH(X, Y) được định nghĩa là cận dưới lớn nhất của các giá trị dH(f(X), g(Y)) đi cùng với tất cả các phép nhúng đẳng cự f: X → M và g: Y → M vào không gian metric M, trong đó, dH biểu thị khoảng cách giữa các tập con trong M.
Khoảng cách Gromov- Hausdorff biến tập tất cả các lớp phép đẳng cự của các không gian metric compact thành một không gian metric, gọi là không gian Gromov- Hausdorff, và do đó nó định nghĩa một khái niệm hội tụ của các dãy của các không gian metric compact, gọi là hội tụ Gromov- Hausdorff.
(Bài viết này tham khảo một số nguồn trên Wikipedia)